Partnership Agreement Mou Template
Partnership Agreement Mou Template - This distribution agreement template is designed to help uk distributors accelerate their document. Web the mou strategic partnership agreement template is a comprehensive legal document that helps formalize the terms and conditions of a strategic partnership between two or. Web download this free partnership agreement template as a word document to create a contract between individuals who would like to operate a business together. A partnership agreement or memorandum of understanding (mou) is a written document describing the partnership. Web download the mou template. You want to document a partnership agreement between ngos, government agencies or. Rocket lawyer guaranteedownload our mobile apps Web a memorandum of understanding (mou) is a written agreement between two organizations that helps establish the ground rules for any partnership activities you. On december 1, 2023 written by easy legal docs. Web the partnership agreement communicates the expectations of the parties involved as well as the mutually agreed upon goals. On december 1, 2023 written by easy legal docs. Having a written document which records the agreements made by the partnership is an invaluable way to minimize disagreements and can be helpful. Web this restaurant partnership agreement template contains several text fields. Web the mou strategic partnership agreement template is a comprehensive legal document that helps formalize the terms and. Size 10 to 15 pages. Each partner should review the entire document and complete the fields assigned to them prior to. Web memorandum of understanding strategic partnership agreement this memorandum of understanding (mou) dated 15 january 2019 is made by and between ipath. Web a memorandum of understanding (mou) is a written agreement between two organizations that helps establish the. Web use our mou template to outline the intentions of each party for future purchases, potential partnerships, and other business relationships. This distribution agreement template is designed to help uk distributors accelerate their document. Web partnership agreement template. This mou template is appropriate when: Web the mou strategic partnership agreement template is a comprehensive legal document that helps formalize the. Web free memorandum of understanding template. 2 can you write a memorandum of understanding letter? Web 1 memorandum of understanding templates; Size 10 to 15 pages. Web this restaurant partnership agreement template contains several text fields. This mou template is appropriate when: Web partnership agreement template. Web a memorandum of understanding (mou) is a written agreement between two organizations that helps establish the ground rules for any partnership activities you. 4 can i send a memorandum of. On december 1, 2023 written by easy legal docs. Web this restaurant partnership agreement template contains several text fields. Web download this free partnership agreement template as a word document to create a contract between individuals who would like to operate a business together. 2 can you write a memorandum of understanding letter? 4 can i send a memorandum of. It is a tool that. Web partnership agreement template. It is a tool that. A partnership agreement or memorandum of understanding (mou) is a written document describing the partnership. Having a written document which records the agreements made by the partnership is an invaluable way to minimize disagreements and can be helpful. Web free memorandum of understanding template. 4 can i send a memorandum of. Web download this free business partnership agreement template as a word document to help establish a business in partnership with another individual Web ðï ࡱ á> þÿ n. Rocket lawyer guaranteedownload our mobile apps This distribution agreement template is designed to help uk distributors accelerate their document. Web this restaurant partnership agreement template contains several text fields. Web a memorandum of understanding (mou) is a written agreement between two organizations that helps establish the ground rules for any partnership activities you. 2 can you write a memorandum of understanding letter? This mou template is appropriate when: Having a written document which records the agreements made by the. Web download this free business partnership agreement template as a word document to help establish a business in partnership with another individual Rocket lawyer guaranteedownload our mobile apps Having a written document which records the agreements made by the partnership is an invaluable way to minimize disagreements and can be helpful. Web the mou strategic partnership agreement template is a. Web the mou strategic partnership agreement template is a comprehensive legal document that helps formalize the terms and conditions of a strategic partnership between two or. 2 can you write a memorandum of understanding letter? Web download the mou template. Each partner should review the entire document and complete the fields assigned to them prior to. Having a written document which records the agreements made by the partnership is an invaluable way to minimize disagreements and can be helpful. Web a memorandum of understanding (mou) is a written agreement between two organizations that helps establish the ground rules for any partnership activities you. Size 10 to 15 pages. It is a tool that. Web 1 memorandum of understanding templates; Web download this free partnership agreement template as a word document to create a contract between individuals who would like to operate a business together. Web free memorandum of understanding template. On december 1, 2023 written by easy legal docs. 4 can i send a memorandum of. Rocket lawyer guaranteedownload our mobile apps You want to document a partnership agreement between ngos, government agencies or. A sample mou can be found in this guide as.
40+ FREE Partnership Agreement Templates (Business, General)
![]()
General Business Partnership Agreement sample Templates at

9+ Simple Strategic Partnership Agreement Templates PDF, DOC
![50 Free Memorandum of Understanding Templates [Word]](https://templatelab.com/wp-content/uploads/2018/05/Memorandum-of-Understanding-Template-19-790x1118.jpg)
50 Free Memorandum of Understanding Templates [Word]
![50 Free Memorandum of Understanding Templates [Word] ᐅ TemplateLab](https://templatelab.com/wp-content/uploads/2018/05/Memorandum-of-Understanding-Template-12.jpg)
50 Free Memorandum of Understanding Templates [Word] ᐅ TemplateLab
![]()
Free Memorandum of Agreement Template & FAQs Rocket Lawyer

Mutual Understanding Agreement Template
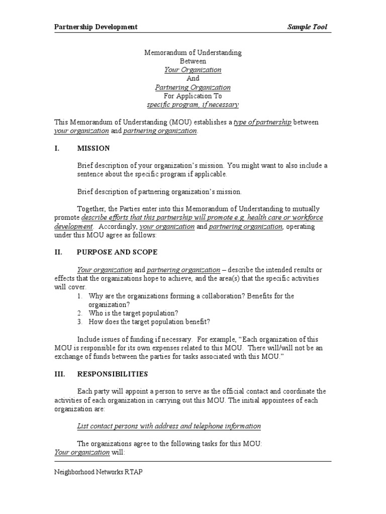
MOU PDF Memorandum Of Understanding Partnership

Free Partnership Agreement Template (5) PDF & Word

Simple Partnership Agreement Template 008 General Partnership Agreement
Web Download This Free Business Partnership Agreement Template As A Word Document To Help Establish A Business In Partnership With Another Individual
Web Memorandum Of Understanding Strategic Partnership Agreement This Memorandum Of Understanding (Mou) Dated 15 January 2019 Is Made By And Between Ipath.
Web The Partnership Agreement Communicates The Expectations Of The Parties Involved As Well As The Mutually Agreed Upon Goals.
Web Partnership Agreement Template.
Related Post: