Non Binding Letter Of Intent Template
Non Binding Letter Of Intent Template - The purpose of the loi is to come to an agreement on the major terms, such as price, and to allow the parties to. Actions, taken after the letter of. Customize and download a free template in either pdf or word format below. 4730 highway 90 e broussard, louisiana 70518. Intent, as expressed in the letter of intent, and; Web the two primary factors used by courts to determine if a letter of intent is binding are: It outlines the agreement between two entities before. What should a letter of intent include? Web a letter of intent to do business non binding is a type of contract that comes before the official agreement. The components of a letter of intent vary greatly depending on the purpose of the form. Strictly private and confidential sports. 4730 highway 90 e broussard, louisiana 70518. Customize and download a free template in either pdf or word format below. (3 steps) sample letter of intent. A party that has signed a letter of intent (loi) may be legally bound to honor it depending on how the letter is drafted. Web updated october 28, 2020: A party that has signed a letter of intent (loi) may be legally bound to honor it depending on how the letter is drafted. The purpose of the loi is to come to an agreement on the major terms, such as price, and to allow the parties to. What to include in a letter of. 4730 highway 90 e broussard, louisiana 70518. Web purchase letter of intent sample. Web a letter of intent to do business non binding is a type of contract that comes before the official agreement. What should a letter of intent include? Intent, as expressed in the letter of intent, and; A party that has signed a letter of intent (loi) may be legally bound to honor it depending on how the letter is drafted. Web purchase letter of intent sample. Intent, as expressed in the letter of intent, and; While many letters of intent may have an intention of keeping parties bound to certain conditions, the clauses may have no. (3 steps) sample letter of intent. Web the two primary factors used by courts to determine if a letter of intent is binding are: The purpose of the loi is to come to an agreement on the major terms, such as price, and to allow the parties to. While many letters of intent may have an intention of keeping parties. Customize and download a free template in either pdf or word format below. The components of a letter of intent vary greatly depending on the purpose of the form. (3 steps) sample letter of intent. This letter (“letter of intent”), when agreed to and. Web purchase letter of intent sample. Web the two primary factors used by courts to determine if a letter of intent is binding are: Intent, as expressed in the letter of intent, and; Web a letter of intent (loi) is a document that parties use to establish an understanding that they both intend to enter into a legally binding agreement. This letter (“letter of intent”), when. The purpose of the loi is to come to an agreement on the major terms, such as price, and to allow the parties to. What should a letter of intent include? A party that has signed a letter of intent (loi) may be legally bound to honor it depending on how the letter is drafted. The document summarizes the proposed. Web updated october 28, 2020: Web a letter of intent (loi) is a document that parties use to establish an understanding that they both intend to enter into a legally binding agreement. 3 vaughan ave doncaster, xo dn1 2qe december 1, 2008. This letter (“letter of intent”), when agreed to and. What to include in a letter of intent. The document summarizes the proposed terms of the contract such as the. Web updated october 28, 2020: Web the two primary factors used by courts to determine if a letter of intent is binding are: Intent, as expressed in the letter of intent, and; (3 steps) sample letter of intent. What to include in a letter of intent. 3 vaughan ave doncaster, xo dn1 2qe december 1, 2008. Web a letter of intent to do business non binding is a type of contract that comes before the official agreement. 4730 highway 90 e broussard, louisiana 70518. Web updated october 28, 2020: The purpose of the loi is to come to an agreement on the major terms, such as price, and to allow the parties to. A party that has signed a letter of intent (loi) may be legally bound to honor it depending on how the letter is drafted. How does a letter of intent work? The document summarizes the proposed terms of the contract such as the. Web a letter of intent (loi) is a document that parties use to establish an understanding that they both intend to enter into a legally binding agreement. Intent, as expressed in the letter of intent, and; This letter (“letter of intent”), when agreed to and. (3 steps) sample letter of intent. The components of a letter of intent vary greatly depending on the purpose of the form. Strictly private and confidential sports. Web purchase letter of intent sample.![]()
Nonbinding Letter of Intent Template Download Printable PDF
![40+ Letter of Intent Templates & Samples [for Job, School, Business]](http://templatelab.com/wp-content/uploads/2017/02/letter-of-intent-41.jpg)
40+ Letter of Intent Templates & Samples [for Job, School, Business]
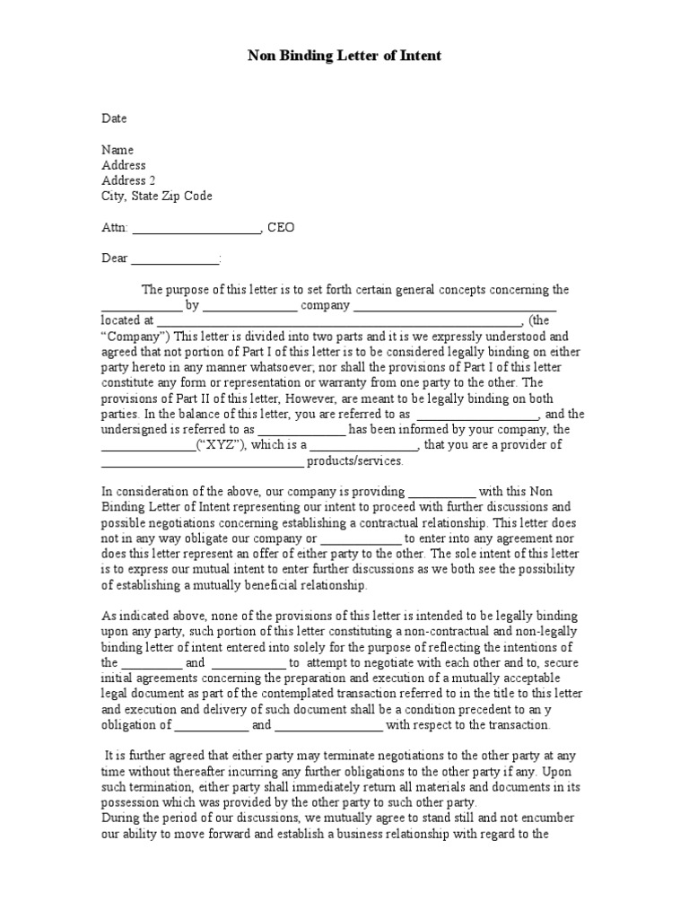
Non Binding Letter of Intent PDF Legal Documents Virtue
![Simple Letter of Intent Template PDF & Word [Pack of 5]](https://premiumprintabletemplates.com/wp-content/uploads/2018/08/Sample-Letter-of-Intent-PDF.jpg)
Simple Letter of Intent Template PDF & Word [Pack of 5]
![]()
Non Binding Letter Of Intent To Purchase Property printable pdf download

Letter of Intent 10+ Free Word, PDF Documents Download!

Nonbinding Letter of Intent Template Download Printable PDF

9+ Letter of Intent Templates Free Sample Example Format Download!

Nonbinding Letter of Intent SEC Doc Template pdfFiller

Printable Non Binding Letter Of Intent To Purchase Business Template
What Should A Letter Of Intent Include?
It Outlines The Agreement Between Two Entities Before.
While Many Letters Of Intent May Have An Intention Of Keeping Parties Bound To Certain Conditions, The Clauses May Have No Binding Terms.
Customize And Download A Free Template In Either Pdf Or Word Format Below.
Related Post: