Google Search Warrant Template
Google Search Warrant Template - Download form (pdf, 531.56 kb) form number: The three stage warrant process is based on an agreement between. Web search warrant templates. A search is requested in relation to [x] an offense substantially described as follows: Deals of the dayshop best sellersshop our huge selectionfast shipping Web preservation letter/search warrant language template. Web the new warrant: Use this template for a simple application/warrant. Web search and seizure warrant. Pursuant to title 18, united states code, section 2703(f), you are requested to preserve all records relating to any. Law enforcement, grand jury, and prosecution forms. Web warrant builder takes you beyond the template and crafts custom search warrants for hundreds of companies, services and situations. Web the new warrant: Web the csc office in california is located at the following address: The three stage warrant process is based on an agreement between. Web this resource is designed to be added to an existing search warrant format to enable an investigator to search for digital evidence and to remove digital evidence storage devices. Geofence location and keyword warrants are new law enforcement tools that. Web warrant builder takes you beyond the template and crafts custom search warrants for hundreds of companies, services and. Examples include a vehicle, residence, storage locker, etc. The three stage warrant process is based on an agreement between. Pursuant to title 18, united states code, section 2703(f), you are requested to preserve all records relating to any. Web the csc office in california is located at the following address: Download form (pdf, 531.56 kb) form number: Pursuant to title 18, united states code, section 2703(f), you are requested to preserve all records relating to any. Web alcohol, tobacco, firearms, and explosives (atf), the u.s. Web this resource is designed to be added to an existing search warrant format to enable an investigator to search for digital evidence and to remove digital evidence storage devices. Geofence location. Web unless delayed notice is authorized below, you must give a copy of the warrant and a receipt for the property taken to the person from whom, or from whose premises, the. The three stage warrant process is based on an agreement between. Postal inspection service (uspis), and other law enforcement.because this affidavit is being submitted for the. Web search. Web preservation letter/search warrant language template. The language should be independently verified and adapted to the facts of your investigation and the. Web search warrant templates. Web unless delayed notice is authorized below, you must give a copy of the warrant and a receipt for the property taken to the person from whom, or from whose premises, the. Basic search. Web preservation letter/search warrant language template. Geofence location and keyword warrants are new law enforcement tools that. Web chris jackson/getty images. Web we strongly encourage law enforcement to start each search warrant from a new template obtained from this site, because these templates are routinely updated by dda's or da. Supplemental information on geofence warrants in the united states in. Deals of the dayshop best sellersshop our huge selectionfast shipping Web search and seizure warrant. The three stage warrant process is based on an agreement between. Postal inspection service (uspis), and other law enforcement.because this affidavit is being submitted for the. Corporation service company 2710 gateway oaks drive, suite 150n sacramento, ca 95833. Web chris jackson/getty images. Use this template for a simple application/warrant. Web search and seizure warrant. Examples include a vehicle, residence, storage locker, etc. Web unless delayed notice is authorized below, you must give a copy of the warrant and a receipt for the property taken to the person from whom, or from whose premises, the. The language should be independently verified and adapted to the facts of your investigation and the. Web search warrant templates: Corporation service company 2710 gateway oaks drive, suite 150n sacramento, ca 95833. Basic search warrant application, warrant, and inventory. Deals of the dayshop best sellersshop our huge selectionfast shipping Web preservation letter/search warrant language template. Social media and applications picks up where 150 search warrants and cell phone investigations left off. Web this resource is designed to be added to an existing search warrant format to enable an investigator to search for digital evidence and to remove digital evidence storage devices. Web this library is intended as a starting point in search warrant drafting only. Deals of the dayshop best sellersshop our huge selectionfast shipping I applicantĀ· [ ] a person to be arrested for \vhom a warrant or. Use this template for a simple application/warrant. Web search warrant templates. Web the csc office in california is located at the following address: Web search warrant templates: Government is secretly ordering google to provide data on anyone typing in certain search terms, an accidentally. Corporation service company 2710 gateway oaks drive, suite 150n sacramento, ca 95833. Web a variety of laws allow government agencies around the world to request the disclosure of user information for civil, administrative, criminal, and national security purposes. Web the new warrant: Web alcohol, tobacco, firearms, and explosives (atf), the u.s. Web in current practice, google requires law enforcement to obtain a single search warrant.Search Warrant PDF

9+ Warrant Agreement Templates PDF, DOC

Affidavit for Search Warrant Forms Fill out & sign online DocHub

Cash App Search Warrant Template Fill Online, Printable, Fillable
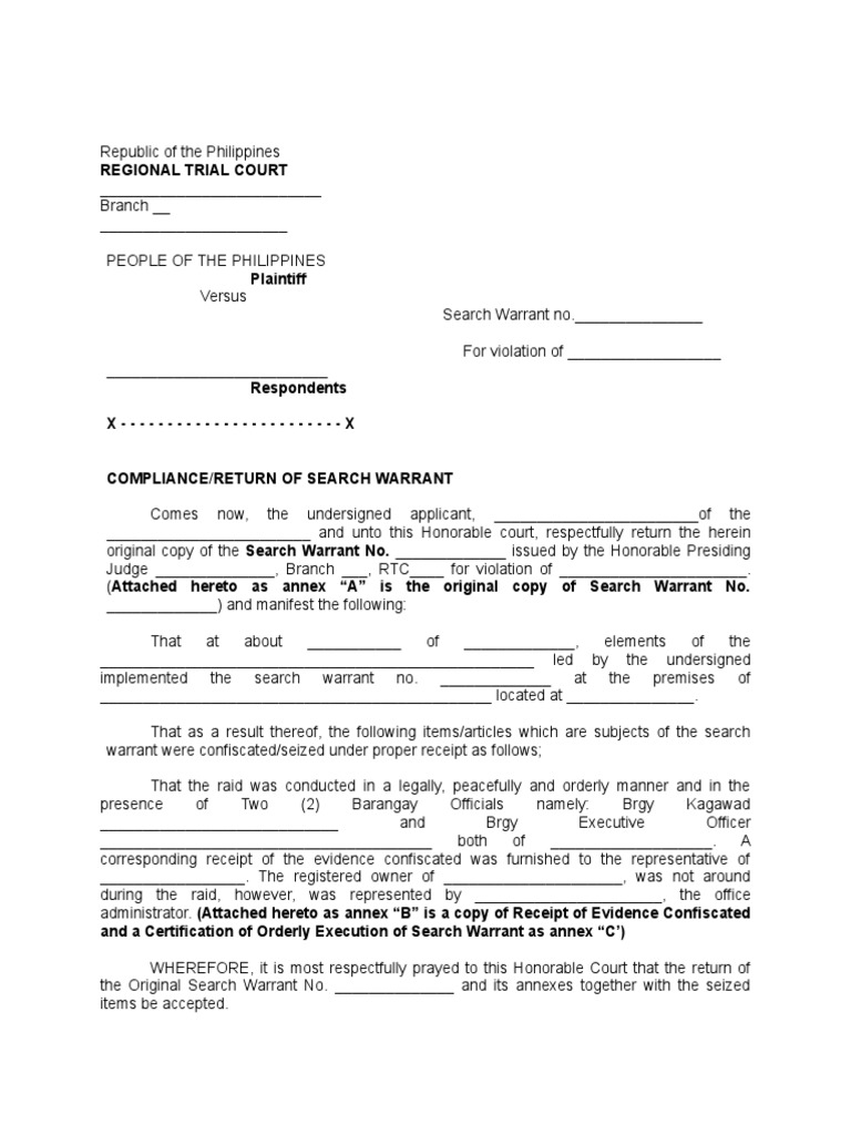
Search Warrant/Affidavit for Search Warrant

Search warrant template Fill out & sign online DocHub

Google Search Warrant Template
Search Warrant.doc Search Warrant Virtue
Sample of Application For Search Warrant PDF Search Warrant
Google Search and Seizure Warrant Cgodfrey4285 PDF Search Warrant
Examples Include A Vehicle, Residence, Storage Locker, Etc.
Basic Search Warrant Application, Warrant, And Inventory.
Law Enforcement, Grand Jury, And Prosecution Forms.
Web Search And Seizure Warrant.
Related Post: