Costco Printable Job Application
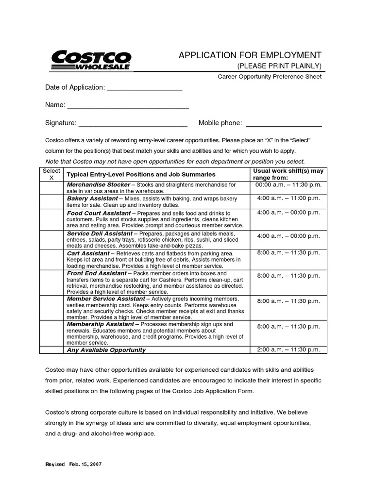
Costco Printable Job Application - Print costco application (pdf) or search job openings. Beware of job emails falsely claiming to be from costco. The following are examples of the typical kinds of positions that costco may hire for when openings exist. If you are applying from an existing profile, please be sure. Click here to view and apply to open it positions. Product & services product info product availability costco. Web registering for our site is quick and easy! To apply at one of our locations, click the state and city or zip code link below. Web how do i apply for a job at a u.s. Your application remains active for 90 days. If you are applying from an existing profile, please be sure. Please print an application and submit in person to a location: Click here to view and apply to open it positions. Web the company also offers diverse career opportunities at our home office in many other areas, such as buying, accounting, ecommerce, information systems, and human resources, to name. Job applications can be confusing. All vacancies in the useasy and fastsign up for free Clean up and inventory duties. The jobs listed are examples of the typical kinds. Visit our “preventing fraud” page for more info. Web in this short guide, we’ll take you through the costco application process and provide you with great tips and examples to create a great resume, cover letter, and advice to help you ace your costco job interview. Visit our “preventing fraud” page for more info. Web view our california job candidate notice; Pulls and stocks supplies and. If you. Web costco.com return to costco.com ordering online order changes order status/shipping online account costco.com help mobile app help. To apply at one of our locations, click the state and city or zip code link below. Web sign in to apply. If you are applying in puerto rico: Clean up and inventory duties. Sign in with your username and password or join now to continue the application process. Get pdf versions of common job applications that you can print out, fill out and deliver in person. Beware of job emails falsely claiming to be from costco. In fact, the majority of our management teams. Our 290,000 associates have a. Get pdf versions of common job applications that you can print out, fill out and deliver in person. The jobs listed are examples of the typical kinds. Get noticed immediatelyjobs that pay you cash All vacancies in the useasy and fastsign up for free Web how do i apply for a job at a u.s. Your application remains active for 90 days. Our 290,000 associates have a. Your application will remain active for 90 days. Web view our california job candidate notice; Web application for employment please print plainly costco wholesale provides equal opportunity in all areas of employment and does not discriminate against an y individual regardless of race, color, religion, sex, age, disability,. We support our stores with 22 distribution centers and 19 manufacturing plants. Clean up and inventory duties. Your application remains active for 90 days. If you are applying from an existing profile, please be sure. You can also create email alerts for costco jobs so you can apply early. Web the company also offers diverse career opportunities at our home office in many other areas, such as buying, accounting, ecommerce, information systems, and human resources, to name a few. Sign in with your username and password or join now to continue the application process. Application updates aren’t sent out by email, so we would recommend contacting the. Web costco.com. Web puerto rico application for employment (please print plainly) career opportunity preference sheet. Web sign in to apply. Web costco wholesale is an equal opportunity employer. Product & services product info product availability costco. The jobs listed are examples of the typical kinds. Click here to view and apply to open it positions. Application updates aren’t sent out by email, so we would recommend contacting the. Web sign in to apply. Web view our california job candidate notice; Get pdf versions of common job applications that you can print out, fill out and deliver in person. Web career paths with costco include information technology, distribution, buying, accounting, finance, marketing, human resources and more. Web costco.com return to costco.com ordering online order changes order status/shipping online account costco.com help mobile app help. Pulls and stocks supplies and. Web puerto rico application for employment (please print plainly) career opportunity preference sheet. In fact, the majority of our management teams. The jobs listed are examples of the typical kinds. Visit our “preventing fraud” page for more info. Your application will remain active for 90 days. Additionally, costco is dedicated to recognising and rewarding employees for their hard work and loyalty. Job applications can be confusing. Web registering for our site is quick and easy!Costco Job Application PDF Costco Equal Opportunity

Costco Application Form Printable PDF Careers & Job Applications 2024

Costco resume example + guide and template

Apply for Costco jobs FindYourJob How to apply, Costco, Job

How To Apply For A Job At Costco Online
Costco Job Application Form ≡ Fill Out Printable PDF Forms Online

Printable Job Application Form Printable Costco Job Application 541603

Costco Application Form Edit, Fill, Sign Online Handypdf

Costco Application Form Edit, Fill, Sign Online Handypdf

How To Apply For A Job At Costco Online PLOYMENT
Web Costco Wholesale Is An Equal Opportunity Employer.
To Apply At One Of Our Locations, Click The State And City Or Zip Code Link Below.
Web In This Short Guide, We’ll Take You Through The Costco Application Process And Provide You With Great Tips And Examples To Create A Great Resume, Cover Letter, And Advice To Help You Ace Your Costco Job Interview.
Clean Up And Inventory Duties.
Related Post: