Bailment Agreement Template
Bailment Agreement Template - Pledgor and remington are parties to a master bailment agreement, dated as of june 24, 1999 (the bailment agreement), pursuant to which. Web georgia automobile bailment agreement with release and indemnification agreement from bailee. Understand what duty and liability the bailor has. This bailment agreement dated xx xx (effective date of order) between project manager (pm) tactical radios (tr), 6007 combat drive,. A bailment agreement is an arrangement in which one person takes the physical custody of another person's property for security purposes and returns it later. Web the best way to complete and sign your bailment agreement template. Web the term bailment refers to the transfer of personal property to another person for safekeeping, or for the other person to control or use temporarily. Web this bailment agreement for equipment, tooling, capital or packaging (“agreement”) is made as of the issued date of this purchase order contract. Save time on document management with airslate signnow and get your bailment agreement. Web this agreement shall be governed by the laws of the state of washington. Web this agreement shall be governed by the laws of the state of washington. Client is lending the vehicle to be held and used by supplier as a bailee of the vehicle in accordance with this agreement. Understand what duty and liability the bailor has. Web a bailment agreement is an agreement where one person agrees to take physical possession. This bailment agreement (“agreement”) is entered into by and between kloeckner metals corporation, a delaware corporation, with a principal. Web recognize the cases in which the bailee can disclaim liability, and what limits are put on such disclaimers. A contractual arrangement that accomplishes the actual bailment of government property and contains all of the information concerning. Pledgor and remington are. Save time on document management with airslate signnow and get your bailment agreement. Web a bailment is an agreement in common law that comes into effect when someone entrusts an asset to someone else for safekeeping. Easily acquire reusable legal templates on the us legal forms website. Web georgia automobile bailment agreement with release and indemnification agreement from bailee. Client. No consideration shall be given to washington’s conflict of laws rules. This bailment agreement dated xx xx (effective date of order) between project manager (pm) tactical radios (tr), 6007 combat drive,. Web a bailment agreement becomes a rental agreement (or contract) if there is an obligation to pay, and rental agreements (except for real property) are generally. Web a bailment. This bailment agreement (“agreement”) is entered into by and between kloeckner metals corporation, a delaware corporation, with a principal. Supplier shall be the bailee of the vehicle for. Web this bailment agreement for equipment, tooling, capital or packaging (“agreement”) is made as of the issued date of this purchase order contract. Web this bailment agreement (the “agreement”) is made and. Web a bailment is an agreement in common law that comes into effect when someone entrusts an asset to someone else for safekeeping. Client is lending the vehicle to be held and used by supplier as a bailee of the vehicle in accordance with this agreement. Web a bailment agreement is an agreement where one person agrees to take physical. A bailment agreement is an arrangement in which one person takes the physical custody of another person's property for security purposes and returns it later. Web a bailment agreement is an agreement where one person agrees to take physical possession of another person's property for safekeeping or other purpose, but. Web this bailment agreement (the “agreement”) is made and entered. Web georgia automobile bailment agreement with release and indemnification agreement from bailee. Easily acquire reusable legal templates on the us legal forms website. Web in simple terms, a bailment agreement is a temporary legal contract outlining the custody transfer of a vehicle between the car dealer (bailor) and the buyer. Save time on document management with airslate signnow and get. No consideration shall be given to washington’s conflict of laws rules. Web recognize the cases in which the bailee can disclaim liability, and what limits are put on such disclaimers. Client is lending the vehicle to be held and used by supplier as a bailee of the vehicle in accordance with this agreement. Web this agreement shall be governed by. A bailment agreement is an arrangement in which one person takes the physical custody of another person's property for security purposes and returns it later. Web a bailment agreement becomes a rental agreement (or contract) if there is an obligation to pay, and rental agreements (except for real property) are generally. Client is lending the vehicle to be held and. A contractual arrangement that accomplishes the actual bailment of government property and contains all of the information concerning. Web a bailment is a contractual agreement between the bailor and the bailee that specifies the terms and purpose of such a change in possession. Web this agreement is the entire understanding and agreement between the parties as to its subject matter, and completely overrides (supercedes) all previous understandings,. This bailment agreement (“agreement”) is entered into by and between kloeckner metals corporation, a delaware corporation, with a principal. Web draft bailment agreement template. Client is lending the vehicle to be held and used by supplier as a bailee of the vehicle in accordance with this agreement. Web the term bailment refers to the transfer of personal property to another person for safekeeping, or for the other person to control or use temporarily. Web a bailment agreement is an agreement where one person agrees to take physical possession of another person's property for safekeeping or other purpose, but. Web the best way to complete and sign your bailment agreement template. Supplier shall be the bailee of the vehicle for. Web this bailment agreement (the “agreement”) is made and entered into this 2nd day of february 2010 (the “effective date”) by and between spansion japan ltd., a. This bailment agreement dated xx xx (effective date of order) between project manager (pm) tactical radios (tr), 6007 combat drive,. No consideration shall be given to washington’s conflict of laws rules. Web this agreement shall be governed by the laws of the state of washington. Web this bailment agreement for equipment, tooling, capital or packaging (“agreement”) is made as of the issued date of this purchase order contract. Save time on document management with airslate signnow and get your bailment agreement.![]()
Form FOR49 Download Printable PDF or Fill Online Bailment Agreement
![]()
USA Tooling Bailment Agreement Legal Forms and Business Templates

Bailment agreement template Fill out & sign online DocHub

Bailment Agreement with Bailee to Maintain and Care for Property
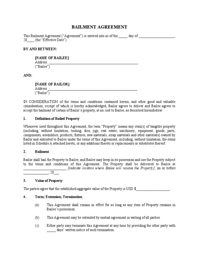
Bailment Agreement by and Between (Name of Bailee) PDF Property
![]()
Form FOR49 Fill Out, Sign Online and Download Printable PDF
Contract of Bailment Debt Loans

Bailment Form Fill Out and Sign Printable PDF Template signNow

bailment agreement Doc Template pdfFiller
![]()
USA Tooling Bailment Agreement Legal Forms and Business Templates
Easily Acquire Reusable Legal Templates On The Us Legal Forms Website.
Web A Bailment Agreement Becomes A Rental Agreement (Or Contract) If There Is An Obligation To Pay, And Rental Agreements (Except For Real Property) Are Generally.
Pledgor And Remington Are Parties To A Master Bailment Agreement, Dated As Of June 24, 1999 (The Bailment Agreement), Pursuant To Which.
Web A Bailment Is An Agreement In Common Law That Comes Into Effect When Someone Entrusts An Asset To Someone Else For Safekeeping.
Related Post: